새소식

알고리즘/문제풀이

백준 - 24267번 알고리즘 수업 - 알고리즘의 수행 시간 6

  • -

코드


이 문제를 공식으로 풀기 위해서는 시그마의 성질에 대해서 알아야 합니다.

 

다음 아래의 공식들을 잘 봐주세요.

 

출처:https://m.blog.naver.com/junhyuk7272/221252612128

 

자연수의 거듭 제곱의 합

 

문제를 시그마를 이용하여 표현하면 다음과 같습니다.

 

 

 

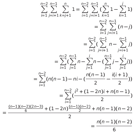
위의 수식을 풀어보면 다음과 같습니다.

 

 

package baekjoon;

import java.io.BufferedReader;
import java.io.IOException;
import java.io.InputStreamReader;

public class No_24267 {

	public static void main(String[] args) throws IOException {
		BufferedReader br = new BufferedReader(new InputStreamReader(System.in));

		long n = Long.parseLong(br.readLine());
		// 기존 풀이
//		long sum = 0;
//
//		for (long i = n - 2; i >= 1; i--) {
//			sum += i * (i + 1) / 2;
//		}
//		System.out.println(sum);
//		System.out.println(3);

		// 새로운 풀이
		System.out.println(n * (n - 1) * (n - 2) / 6);
		System.out.println(3);
	}

}

'알고리즘 > 문제풀이' 카테고리의 다른 글

백준 - 11653번 소인수분해  (0) 2023.07.15
백준 - 1978번 소수 찾기  (0) 2023.07.15
백준 - 1193번 분수찾기  (0) 2023.07.15
백준 - 2869번 달팽이는 올라가고 싶다.  (0) 2023.07.15
백준 - 10951번 A+B - 4  (0) 2023.07.14
Contents

포스팅 주소를 복사했습니다

이 글이 도움이 되었다면 공감 부탁드립니다.